Any map $f:A\to T$ gives us an equivalence relation on its domain.It is defined by the rule $a\sim b$ if $f(a)=f(b)$.
$\dots$
The inverse images are also called the fibres of the map $f$
Any map $f:A\to T$ gives us an equivalence relation on its domain.It is defined by the rule $a\sim b$ if $f(a)=f(b)$.
$\dots$
The inverse images are also called the fibres of the map $f$
形象点我认为 $f^{-1}(a)$ 就是 $a$ 长出来的纤维。
范畴论里的纤维积如下定义。设 $X\xrightarrow{f} Z,Y\xrightarrow{g}Z$ 是范畴 $\mathcal{C}$ 里两个态射。
如果 $X\times_Z Y$ 满足以下两个条件:
(1)
这图交换。
(2) 如果存在 $W$ 使得图中右下角交换 
那么存在唯一的态射 $h:X\times_Z Y \to W$, 使得整个图狡猾。
我们称 $X\times_Z Y$ 是 $X \to Z, Y \to Z$ 的纤维积。
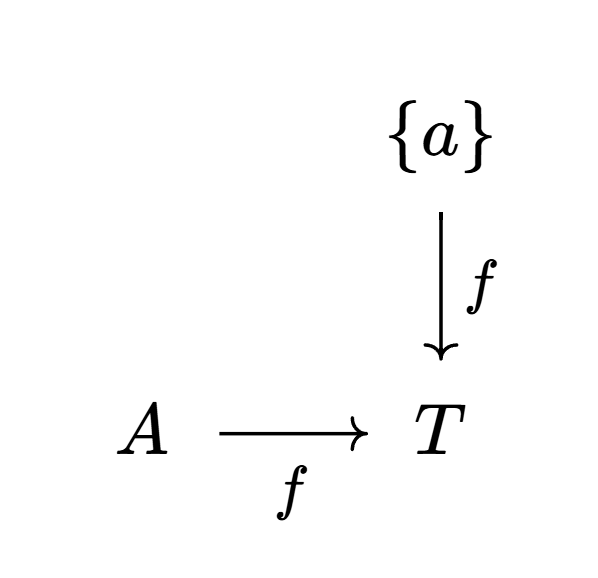
如果我们在集合范畴考虑问题,取 $X = A, Z = T, Y = { a}$,$A \xrightarrow{f} T, a \mapsto f(a)$
那么我们有图

其纤维积便是 $f^{-1}(a)$. 所以也称 $f^{-1}(a)$ 是 $a$ 处的纤维。